Kim thu sét giúp giảm tác hại, nguy hiểm không mong muốn từ tia sét đánh. Vậy có cách nào để tính bán kính bảo vệ của kim thu sét không? Bài viết sau của CHONGSET.VN sẽ hướng dẫn bạn đọc cách tính bán kính bảo vệ, bao phủ của kim thu sét BAKIRAL.

Kim thu sét được tạo ra bởi nhà khoa học Benjamin Franklin, người Mỹ vào năm 1752. Phạm vi bảo vệ của kim thu sét là một trong những tiêu chí hàng đầu để lựa chọn sản phẩm chống sét phù hợp.
Bán kính bảo vệ của kim thu sét là bao nhiêu?
Sét đánh trực tiếp có thể gây cháy nổ, hư hỏng các thiết bị điện. Gây nhiều thiệt hại về người, tài sản. Kim thu sét cùng với dây dẫn sét, cọc tiếp địa,… Tạo nên hệ thống chống sét hoàn chỉnh, bảo vệ con người và công trình. Kim thu sét có vai trò tập trung năng lượng từ tia sét đánh, dẫn truyền tới các bộ phận khác trong hệ thống chống sét và truyền xuống mặt đất một cách an toàn.

Mỗi dòng sản phẩm kim thu sét sẽ có bán kính bảo vệ khác nhau. Trong bán kính đó kim thu sét sẽ hoạt động hiệu quả nhất khả năng bảo vệ lên tới 99%. Càng ra xa khỏi phạm vi bảo vệ hiệu quả giảm dần xuống mức độ khoảng 85%.
Hiện nay có hai loại kim thu sét cơ bản là loại cổ điển và loại hiện đại (kim thu sét tia tiên đạo). Mỗi dòng kim thu sét có những đặc điểm riêng biệt, cấu tạo và khả năng bảo vệ khác nhau. Thay đổi độ cao có thể làm thay đổi phạm vi bảo vệ của kim thu sét.
Bạn có thể tham khảo thêm về kim thu sét tia tiên đạo trong bài viết:
Cách tính bán kính bảo vệ của kim thu sét
Tiêu chuẩn áp dụng
Hiện nay các thiết bị thu sét nhập khẩu khi tính toán phạm vi bảo vệ phần lớn đều sử dụng tiêu chuẩn NFC 17-102 (của Pháp). Một số tiêu chuẩn khác cũng được sử dụng như tiêu chuẩn chống sét của Tổng cục Bưu điện TCN 68-174/1998, tiêu chuẩn chống sét cho công trình xây dựng Việt Nam TCXDVN 9385:2012, tiêu chuẩn của Bộ xây dựng TCN 46-84,… Bên cạnh đó phương pháp tính và tiêu chuẩn áp dụng giữa kim thu sét cổ điển và kim thu sét hiện đại cũng khác nhau.
Phân loại mô hình chống sét cơ bản
Hiện nay người ta phân thành 3 mô hình chống sét phổ biến:
- Mô hình điện hình học ứng dụng đối với các công trình có chiều cao hơn 20m.
- Mô hình hình học của kim thu sét cổ điển, có bán kính bảo vệ hình nón úp.
- Mô hình phát xạ sớm với vùng bảo vệ dạng hình chuông.
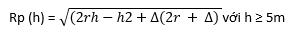
Cách tính bán kính bảo vệ kim thu sét BAKIRAL
Bán kính bảo vệ RP của thiết bị đầu cuối BAKIRAL ESE được tính bằng công thức được định nghĩa trong NFC 17-102 (9/2011), cụ thể như sau:

- Rp5 = giá trị Rp từ eqn (1) khi h = 5m
- r = 20m cho cấp bảo vệ I (Bảo vệ rất cao)
- = 30m cho cấp bảo vệ II (bảo vệ cao)
- = 45m đối với cấp bảo vệ III (Bảo vệ trung bình)
- = 60m cho cấp bảo vệ IV (Bảo vệ tiêu chuẩn)
Và ∆ = hệ số ưu điểm của BAKIRAL về thời gian và chiều cao theo tiêu chuẩn sau:
- Chứng chỉ
Từ năm 1990, BAKIRAL đã cung cấp các giải pháp cho các lĩnh vực chống sét và tiếp đất. Nguyên tắc của BAKIRAL là sản xuất các sản phẩm được thử nghiệm theo tiêu chuẩn quốc tế với tỷ lệ chất lượng và giá tốt nhất. Theo nguyên tắc này, công ty chúng tôi đã thiết kế hệ thống chống sét để đáp ứng tốt nhất nhu cầu của khách hàng. BAKIRAL có vai trò vững mạch trên thương trường về Kim thu sét, cột thu lôi với dịch vụ xuất nhập khẩu. Mục tiêu của chúng tôi là cải thiện cơ sở khách hàng của khu vực I và khối lượng sản xuất càng nhiều càng tốt nhưng luôn tuân thủ các nguyên tắc sản suất.


Phân biệt bán kính bảo vệ của kim thu cổ điển và hiện đại
Bán kính bảo vệ của kim thu sét cổ điển
Phạm vi bảo vệ của kim thu sét cổ điển thường khá nhỏ, chỉ từ 15–18m. Kim thu sét cổ điển chỉ chống được sét đánh trực tiếp. Vì những đặc điểm này nên kim thu sét cổ điển thường được dùng cho các công trình dân dụng, công trình nhỏ, có độ cao 15-20m. Để tăng hiệu quả hoạt động, các công trình lắp đặt kim thu sét cổ điển thường lắp nhiều đầu kim thu trên mái nhà.
Bán kính bảo vệ của kim thu sét hiện đại
Kim thu sét hiện đại thường được tính bán kính bảo vệ dựa theo tiêu chuẩn NFC 17-102. Phạm vi an toàn phụ thuộc thời gian phát tia tiên đạo theo thực nghiệm. Ngoài ra còn theo chiều cao kim thu sét trên bề mặt được bảo vệ.
Nhờ sử dụng tính năng phát xạ sớm, kim thu sét hiện đại có vùng bảo vệ rộng lớn hơn. Xác suất bảo vệ trước dòng sét đánh trực tiếp là 98%. Kim thu sét hiện đại có khả năng bảo vệ cho công trình có độ cao lên tới 300m. Có thể áp dụng cho hệ thống chống sét lan truyền. Với công nghệ phát tia tiên đạo, chỉ cần lắp đặt một kim thu sét duy nhất cũng đạt được bán kính bảo vệ lớn cho một khu chung cư, tòa nhà, khu công nghiệp, công viên, các quần thể kiến trúc rộng khác,…
Phạm vi bảo vệ của dây thu sét và cột thu sét là bao nhiêu?
Dây thu sét có phạm vi bảo vệ của là một dải rộng. Bán kính an toàn phụ thuộc vào số lượng dây thu sét. Đối với cột thu sét, phạm vi bảo vệ được giới hạn bởi hình chóp tròn xoay. Bán kính bảo vệ của cột thu sét cũng sẽ khác nhau tùy vào số lượng cột thu.

Việc lựa chọn kim thu sét có ảnh hưởng rất nhiều bởi nhu cầu sử dụng, bán kính bảo vệ của kim thu. Sự lựa chọn phù hợp sẽ đảm bảo an toàn cho con người, tài sản, công trình, đảm bảo tính kinh tế.
Loại kim thu sét nào tốt?
Kim thu sét ALFAS ESE được sản xuất bởi hãng BAKIRA – Thổ Nhỹ Kỳ. Kim thu sét ALFAS ESE được nghiên cứu và sản xuất theo công nghệ phóng điện sớm ESE, đạt tiêu chuẩn NFC17-102: 2011 của Pháp.

Tùy từng yêu cầu cụ thể tại sẽ chọn lựa loại kim thu sét phù hợp.
- Từ năm 1990, BAKIRAL đã cung cấp các giải pháp cho các lĩnh vực chống sét và tiếp đất.
- Nguyên tắc của BAKIRAL là sản xuất các sản phẩm được thử nghiệm theo tiêu chuẩn quốc tế với tỷ lệ chất lượng và giá tốt nhất.
- BAKIRAL có vai trò vững mạch trên thương trường về kim thu sét, cột thu lôi với dịch vụ xuất nhập khẩu.
- Nhập khẩu chính hãng từ Bakiral – Thổ Nhĩ Kỳ.
- Bảo hành 3 năm chính hãng
- Lắp đặt tận nơi với các kỹ thuật viên được đào tạo tại hãng.
- Tìm đại lý trên toàn quốc với chính sách ưu đại và đạo tạo chuyên sâu về sản phẩm.
Mua kim thu sét ở đâu tốt và uy tín nhất?
Trên thị trường có rất nhiều sản phẩm kim thu sét, thiết bị chống sét với mức độ bảo vệ khác nhau. Để chọn sản phẩm chất lượng, ưng ý, đồng thời phù hợp và đảm bảo an toàn tuyệt đối cho công trình không hề đơn giản.
Chúng tôi, CHONGSET.VN, tự hào là nhà cung cấp vật tư chống sét lan truyền chính hãng uy tín với chất lượng tốt nhất trên thị trường. Đối với sản phẩm kim thu sét, chúng tôi mang đến cho người tiêu dùng Việt Nam sản phẩm Kim thu sét BAKIRAL với giá thành bình ổn và tốt nhất trên thị trường:
THAM KHẢO BẢNG BÁO GIÁ KIM THU SÉT
Liên hệ ngay với chuyên gia của chúng tôi để được:
- Tư vấn chi tiết
- Cách tính bán kính kim thu sét BAKIRAL
- Tham khảo thêm thông tin chính thống để lựa chọn được thiết bị tốt nhất cho công trình của bạn.
- Điện thoại: 0978 600 005